分类:技术指标 - 均线 2021-04-06 1,950浏览 · 0收藏
关联专题:
均线怎么看,越简单越实用均线快速操作技巧!
股市投资者位都想花更少的时间和精力来驾驭输赢,把经营我们自己的人生当做头等大事,其它任何事情应该从属于包罗万象的人生;当个人安全地投资,并不再为金钱所困扰,我称这种境界为投资游戏的“终局”。

那么均线怎么看?
均线又叫移动平均线(Moving Average),常简称为M或MA,它是以道琼斯的“平均成本概念”为理论基础,采用统计学中“移动平均”原理,将一段时期内的价格平均值连成─条曲线,以此来显示股票价格的历史波动情况,进而反映股价未来发展趋势的技术分析方法,是道氏理论的形象化表述。
均线指标的计算方法是将最近N个交易日的收盘价格之和除以交易日个数N,这个数值会随着最近的价格不断变化而变化,所以又被称为“移动平均线如以5日均线(简称5M或5MA)为例:
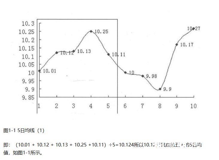
假设最近十个交易日的收盘价分别为:10.01元、10.12元、10.13元、10.25元、10.11元、10.00元、9.98元、9.90元、10.17元、10.27元。
第五天的收盘价为10.11元,这一天的5日均线则是指当天的收盘价和之前四天的收盘价相加,一共是五天的收盘价,求出它们的总和再除以5,所得到的数值。








实用均线快速操作技巧:
一、当股价在5日均线之上,并且5日、20日、60日t均线呈多头排列时,我们可以快速杀入。当5日均线拐头向下且股价在20日t均线下时,可以全部卖出。
二、当股价跌到120日t均线,且得到很强支撑不破位,同时30日、120日t均线多头排列,5日t均接拐头向上时,我们不管长期短期都可介入。
三、因为30日均线与120日t均线都是很神奇的t匀线,一个是中短期的支撑,一个是长期的支撑。
均线怎么看相关介绍上面了全部内容,两种t均线排列在实际当中是一种很好的买入机会,而且屡试不爽,大家不妨在操作中实战总结一下。我们之所以说t习线就是因为t均线系统的可靠性,它简单以学,但是在不同的人手中发挥的作用也不同。对于大多数人来说上面两种掌握了就够了。
更多精彩内容,请关注财富池订阅号
财富池指标公式网(www.cfchi.com)提醒您:股市有风险,投资需谨慎。
按时间
按热度
评论
(均线怎么看,越简单越实用均线快速操作技巧!)